沈阳市义龙防火材料有限公司为您免费提供吉林防火涂料,吉林钢结构防火涂料,吉林防火涂料工程等相关信息发布和资讯展示,敬请关注!
很多公司的时候,都需要使用吉林防火涂料,但是你们在使用防火涂料的时候,知道什么厚度合适吗?如何计算防火涂料的厚度。

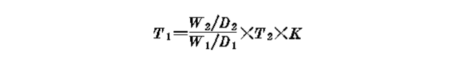
在设计防火保护涂层和喷涂施工时,根据标准试验得出的某一耐火极限的保护层厚度,确定不同规格钢构件达到相同耐火极限
所需的同种防火涂料的保护层厚度,可参照下列经验公式计算:
式中T1——待喷防火涂层厚度(mm);
T2——标准试验时的涂层厚度(mm);
W1——待喷钢梁重量(kg/m);
W2——标准试验时的钢梁重量(kg/m);
D1——待喷钢梁防火涂层接触面周长(mm);
D2——标准试验时钢梁防火涂层接触面周长(mm);
K——系数。对钢梁,K=1;对相应楼层钢柱的保护层厚度,宜乘以系数K,设K=1.25。
公式的限定条件为:W/D≥22,T≥9mm,耐火极限t≥1x。
吉林防火涂料哪家好?吉林钢结构防火涂料报价是多少?吉林防火涂料工程质量怎么样?沈阳市义龙防火材料有限公司专业承接吉林防火涂料,吉林钢结构防火涂料,吉林防火涂料工程,,电话:13548000119